主頁
入學申請
聯絡我們
學校概覽
學校簡介
學校簡史
辦學團體
校訓
校歌
學校設施
3D 校園全景遊
行政架構
法團校董會
我們的校監
校長的話
計劃及報告
防止校園性搔擾政策
學校資訊
最新消息
校曆表
學生午膳
校服式樣
校車服務
書單
eClass Parent App
校訊
景天刊物
傳媒報道
招標文件
代掛橫額申請
學與教
課程特色
校本 STEAM 課程
校本資優教育發展
學科園地
中文科
英文科
數學科
常識科
科學科
音樂科
視覺藝術科
普通話科
資訊科技科
體育科
倫理宗教科
圖書科
評估及家課政策
學業成績獎勵計劃
各科電子閱讀平台
學生成長及支援
我們的小一
學習支援
訓育及輔導
訓輔獎項
訓輔目標
各項訓輔活動
學生支援
全方位學生輔導計劃
校本生命教育課程
NCS Support
校園生活
活動相片
校園影片
課外活動
MVP 計劃
周三課外活動
多元學習興趣班
學生課外活動總表
獎項及成就
學生成就
學科獎
藝術發展成就
進步之星
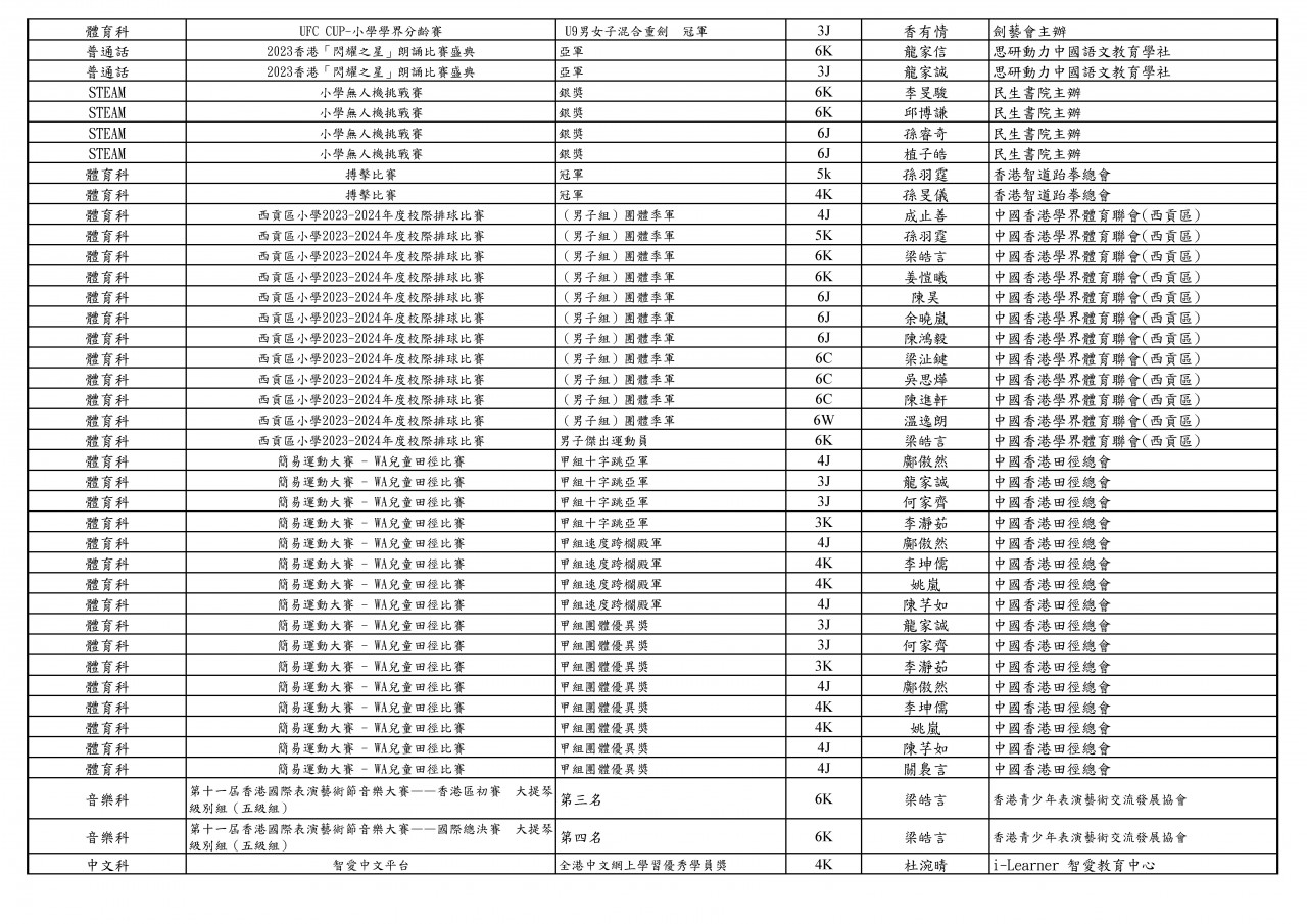
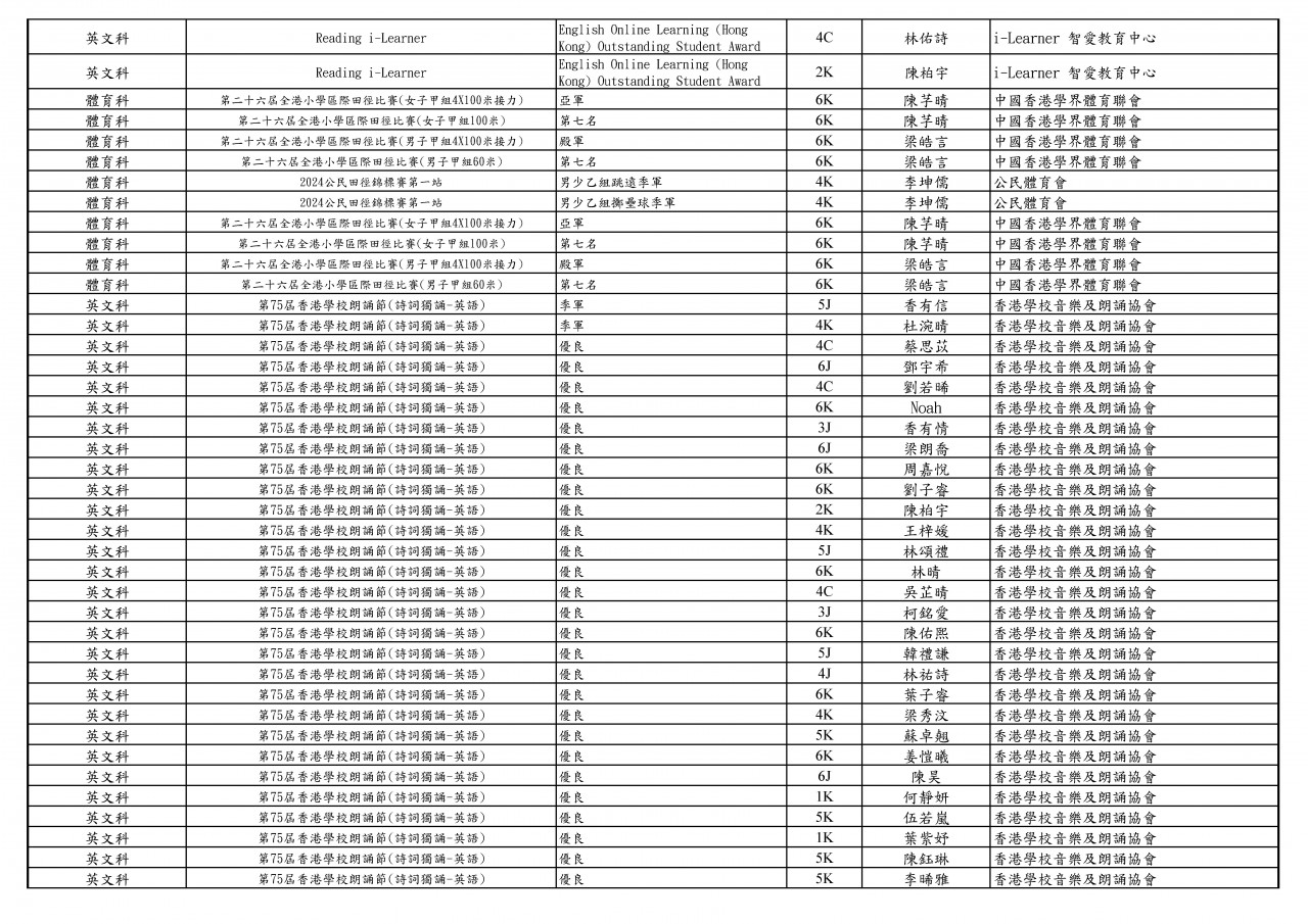
全年獲獎名單
入學及升中
幼小銜接活動
小一入學申請
Primary One Admission
插班生入學申請
升中派位結果
升中資訊
升中支援
家長及校友
家長教師會
會章
委員名單
活動花絮
家長義工
校友會
最新消息
委員名單
活動花絮
校友探訪母校
首頁
>
學生成就
>
2023-2024 全年獲獎名單
2023-2024 全年獲獎名單
日期:
30/08/2024
返回
Top